التربية تدعو مرشحين لوظيفة مساعد مدير (اسماء)
نيسان ـ نشر في 2018-10-30 الساعة 22:05
نيسان ـ
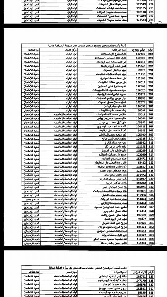
قررت وزارة التربية والتعليم عقد امتحان لوظيفة مساعد مدير يوم السبت 3/11/2018 بدءا من الساعة التاسعة صباحا ، سيقام الأمتحان في ك'مراكز امتحانات برامج التنمية المهنية المخصصة لكل مديرية































































قررت وزارة التربية والتعليم عقد امتحان لوظيفة مساعد مدير يوم السبت 3/11/2018 بدءا من الساعة التاسعة صباحا ، سيقام الأمتحان في ك'مراكز امتحانات برامج التنمية المهنية المخصصة لكل مديرية

































































